bevitor伟德国际1946

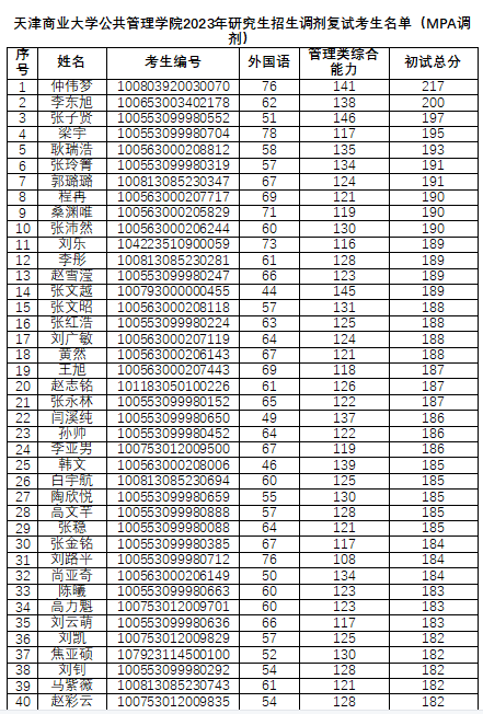
bevitor伟德国际19462023年研究生招生调剂复试考生名单(MPA调剂)

来源:bevitor伟德国际1946 时间:2023-04-06 点击数:


Copyright © 伟德国际(bv1946·MACAU集团)源于英国|官方网站-Officials Website 版权所有  |  地址:天津市北辰区光荣道409号 bevitor伟德国际1946  | 电话: 022026667609  | 邮编:300134